Key Theories and Parameters
The defining features of dense plasmas, such as the Coulomb coupling parameter, the quantum degeneracy parameter and the typical densities and temperatures
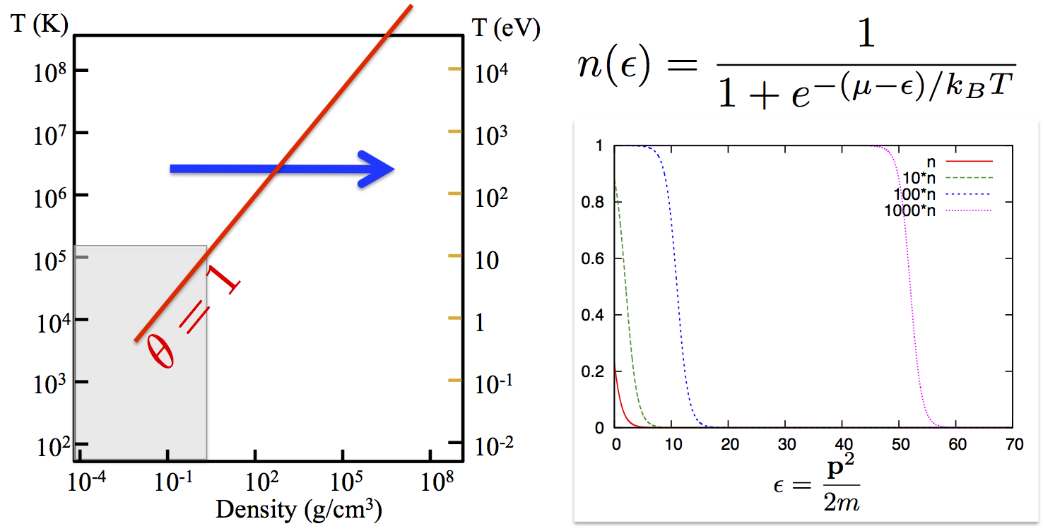
Plasmas of interest to this project span a wide region of phase space in terms of density and temperature and require theoretical understanding from both traditional (classical) plasma physics as well as condensed matter (quantum) physics. For example, we may consider the low temperature case of nearly free valence electrons of solid aluminum, or the high temperature case of fully ionized hydrogen near fusion ignition. Two parameters can, in general, describe our systems: the Coulomb coupling parameter and the degeneracy parameter.





